白金會員
已認證
等量吸附熱(Isosteric heat of adsorption)是表征材料表面非均質性的關鍵參數,可揭示吸附劑特性及其吸附能力。它不僅能反映吸附質與孔壁相互作用的強弱,還能為碳捕集與封存(CCS)等應用提供更可靠的性能判斷。
01如何測定
以國儀量子微孔分析儀Sicope40為例,為獲取該參數,測定時需對同一樣品使用相同吸附質(但不同溫度)獲取多條吸附等溫線——通常至少需要兩條(推薦三條)不同溫度下的物理吸附等溫線數據。
本質上,等量吸附熱是通過在恒定吸附量(覆蓋度θ)下繪制ln(P)對1/T的曲線(即等量線,isostere)來確定的。每條等量線的斜率可用于計算該吸附量對應的吸附熱。例如,下圖1展示了一個簡化的等量線圖,基于兩種溫度(由兩組垂直紅色圓圈標示)和十處吸附體積(量)生成的等溫線繪制而成,因此可得到十個吸附熱值(每個吸附量對應一個)。

圖1 等量線圖的簡化示例
各吸附量下的吸附熱通過Clausius-Clapeyron的變形公式計算:

其中:-△Hads為吸附熱(單位:J/mol),R為氣體常數(8.314 J·mol-1·K-1),lnP為壓力的自然對數,T為分析溫度(K),θ為吸附質在樣品表面的覆蓋度。
02應用案例:四組活性炭對比

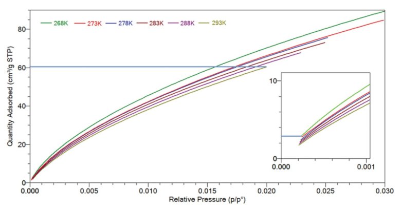
圖2 展示了活性炭A在六個溫度下的吸附等溫線,并標注了用于吸附熱計算的吸附量上下限(淺藍色標線)
<參數設置>:
上限值(60 cm3/g)由最低終吸附量等溫線(293K)決定
下限值(3 cm3/g,見插圖)由最高初始吸附量等溫線(268K)決定
SiCOPE 40軟件自動判斷上述限值后(圖3),輸入插值點總數,系統自動生成100個線性間隔的吸附體積數據點,并繪制等量吸附熱曲線圖。

圖3 軟件設置界面
03結果分析

圖4. CO2在四種活性炭上的等量吸附熱曲線圖
四組活性炭吸附熱特征(圖4)
所有樣品均呈現相同趨勢:低覆蓋度時:吸附熱較高(吸附質優先占據高能位點);
覆蓋度增加時:吸附熱逐漸降低。
關鍵差異
A、B:曲線下降平緩→吸附位點能量均一性高;
D:在10 cm3/g處出現明顯拐點→存在顯著能量異質性。
吸附容量對比
A/B/D:最大吸附量60-65 cm3/g(接近常壓條件);
C:顯著較低(飽和吸附量僅45 cm3/g)。
04孔隙特性與CO2吸附性能的關聯分析
N?吸附表征結論
A與B高度相似:超高比表面積(幾乎全部來自微孔)。
CO2吸附熱數據發現
1.雖然孔隙參數相近,但B表現更優:全程吸附熱更高——近飽和時比A高1.5 kJ/mol;293K / 760mmHg條件下實測吸附量:A:56.0 cm3/g,B:67.0 cm3/g。
2. 工程意義:B材料不僅能吸附更多CO2,其更高吸附熱意味著需要更大能量觸發脫附→在實際封存應用中具有更穩定的持留能力。
3. 該研究中,活性炭D展現出最優異的CO2捕集與封存潛力:
吸附熱優勢:全程保持最高值,近飽和時較B高2 kJ/mol,較A/C高3.5 kJ/mol;
吸附容量突出:與性能次優的B材料相當。傳統表征的誤導性若僅依據BET比表面積和孔體積數據,可能誤判B為最佳材料。
05關鍵研究發現
孔隙參數的局限性:超高比表面積(源于極致微孔化)材料未必優于具有適度微孔-介孔結構的低比表面積材料,必須結合吸附過程熱力學分析進行綜合評估。
吸附熱測量的診斷價值:揭示傳統孔隙分析無法檢測的關鍵特性,例如:表面基團與CO2四極矩的特殊相互作用;不同吸附位點的能量異質性等。
比表面積及孔徑推薦設備 國儀量子Sicope40 介紹:
測試通量:4站并行測試
測試氣體:N2、Ar、CO2、H2等其他非腐蝕性氣體
測試范圍:比表面積:0.0005 m2/g及以上;
孔徑:0.35-500 nm孔徑精準分析;
總孔體積:0.0001 cc/g及以上
誤差率:定量誤差<0.5%RSD(以標準樣品BET值計)
重現性:定量誤差<0.5%RSD
最可幾孔徑重復偏差≤0.02 nm
分壓范圍:10-8~ 0.999
脫氣處理:4站原位脫氣;并配置獨立樣品預處理設備,獨立6組控溫
控溫范圍:室溫~400 ℃,控溫精度:±0.1 ℃
分析模型:BET比表面積、Langmuir表面積、t-plot分析、BJH、HK、DR/DA、NLDFT孔徑分布
如您有采購需求
歡迎聯系我們!



