金牌會員
已認證

第一作者:Xue Cai
通訊作者:Caiping Zhang, Weihan Li
通訊單位:北京交通大學,德國亞琛工業大學
使用設備:元能科技SWE2110(1T常溫膨脹測試系統)
01 研究背景
隨著電動汽車和電化學儲能的廣泛應用,鋰離子電池因其高能量密度、成本效益和長壽命而備受關注。然而,鋰離子電池在發生電化學反應的同時會產生膨脹力和熱量,尤其是在組裝和疊壓等機械限制條件下,從而形成電化學-熱-機械的多場耦合行為。表征和量化多場耦合行為需要跨學科的努力。但由于測量的局限性和耦合的復雜性,理解錯綜復雜的多場行為具有兩方面的挑戰性。一是:雖然現有的測試平臺提供了用于研究電池機械響應和多場耦合行為的實驗手段,但這些平臺各有優缺點,另一個是錯綜復雜的多場耦合行為因其高度非線性相互作用關系還未被充分地解耦分析。因此,本文綜合利用不同機械約束平臺的優勢,開發了原位定量分析方法,以揭示多場耦合的作用機制,量化不同物理場之間的關聯性和耦合強度。這些研究成果將為優化結構設計和改善電池性能提供重要依據。
02 工作簡介
近日,北京交通大學聯合德國亞琛工業大學團隊設計了一系列機械約束實驗, 其中包括自由膨脹(圖1(a)),恒位移(圖1(b))和元能科技SWE2110恒壓力模式(圖1(c)),并引入了原位分析框架,以闡明多物理場之間復雜的相互作用機制和耦合度。所提出的分析框架整合了等效模型參數化、原位力學分析和耦合行為的定量評估。結果表明,在低溫條件下,壓力對阻抗的顯著影響主要來自擴散控制步驟,并通過施加外部壓力(如 10 °C 時的 180 至 240 kPa)以改善電池的動力學性能。電化學反應控制步驟的多樣性說明了壓力在不同溫度下對電池性能的不同影響。熱膨脹率表明,在充電過程中,升高每單位溫度下膨脹力變化小于1.60%。通過引入復合評價指標,我們量化了特征參數和物理場之間的耦合相關性和強度,發現了電化學-熱場之間的最高耦合度。這些結果凸顯了分析方法在揭示多場相互作用機制方面的潛力,其目標是提高電池性能和優化結構設計。
03 內容表述
鋰離子電池涉及不同學科和非線性耦合行為,分析多場問題顯然是錯綜復雜的。在本研究中,我們提出了圖 1 所示的原位定量分析框架,旨在全面解決這些復雜的非線性耦合分析問題。針對機械約束下無法測量的電池溫度,我們結合三個機械平臺,精心設計了一個綜合實驗矩陣,為多場模型參數化和機械特性曲線分析提供數據支持。首先,為了定量評估不同場之間錯綜復雜的相互作用,我們使用等效電路、機械和熱模型對耦合行為進行了可視化和參數化(圖1(d)),這為直觀量化特征參數與物理場之間的多場耦合提供了重要依據。雖然熱效應對機械行為的影響是通過單向耦合方法來探索的,但其他物理場之間的相互作用則需要采用雙向耦合策略。隨后,為了進一步研究溫度和壓力對機械行為的影響,我們開發了一種使用差分電壓和膨脹分析的原位機械表征方法(圖1(e))。通過這種方法,我們可以將膨脹峰與特定的相變相關聯,從而探索機械行為變化的電化學特性。此外,我們還引入了一種綜合指標,將最大信息系數 (MIC) 和最大速率變化 (MRC) 結合起來,以定量評估特征參數與物理場之間的耦合相關性和強度(圖1(f))。本研究強調了這一框架在指導多場耦合問題的實驗設計,以消除相互作用,并創建專門應對多場耦合挑戰的模型。

圖1.基于機械約束平臺所提出的原位定量分析架構
為進一步揭示電池外部性能變化的內部電化學機理,圖2顯示了不同溫度下電池熱力學和動力學參數隨外部壓力變化的情況。活性材料顆粒的熱膨脹會促進顆粒、粘結劑和導電材料之間的緊密連接。由于不存在空隙,這導致電子阻抗在壓力增加時保持不變。相反,在 10 °C時,這些連接松散的微粒會因真空的消除而導致電子阻抗隨壓力增加而減小。在這種情況下,應力引起的電子阻抗變化明顯大于鋰離子阻抗,這表明25 ℃和10 ℃ 下的加壓細胞增強了各組分之間的接觸狀態。在圖 2(d 和 e)中,可以觀察到在所有溫度下,隨著壓力的增加,界面阻抗參數:Rinterf 會減小,Cinterf 會增大。這表明,活性材料顆粒的表面積隨施加的壓力而增加,但在 40 ° C 時超過 100 kPa 時表面積會減小,而在 20% SOC 時則小于 50 kPa,這是因為機械損傷(如顆粒嵌入集流器或二次顆粒融合)導致活性材料表面積減小[54]。因此,考慮到整個 SOC 范圍,活性表面積最大化(即界面阻抗最小化)的最佳壓力集中在 40 °C 時 50 至 100 kPa、25 °C 時 100 kPa 和 10 °C 時 240 kPa 的范圍內,這為緩沖層支撐電池的長壽命運行提供了有力的理論依據。在圖 2(f-h)中,低頻阻抗由電解質和活性顆粒內部的離子擴散組成。由于孔隙率降低,擴散阻抗Rd,1 在 25 和 40 °C 時隨應力增加,而在 10 °C 時則下降,這因于 10 °C 時的擴散系數與應力引起的電解質粘度甚至凝固之間的相關性,這意味著在低溫條件下,壓力對電池阻抗性能的影響非常明顯。液相擴散是低溫性能的關鍵控制步驟[56],有助于通過施加外部壓力改善動力學。根據電池電化學原理,電化學反應控制步驟的變化可有效解釋不同溫度下的不同效應。壓力誘導的動力學演變機制和熱力學中電極容量的變化規律,揭示了10 °C下通過施加壓力使得電池1.5C容量增加和極化電壓下降的本質原因來源于壓力誘導擴散控制步驟。

圖2.(a) EIS 的奈奎斯特圖。(b) 壓力對電化學特性的影響示意圖。在低堆疊應力條件下,從初始值(R0)算起的電阻是通過比較計算得出的。(c) 歐姆電阻。(d) 表面電阻。(e) 表面間電容。(f) 電解質擴散阻力和 (g) 電容。(h) 其他擴散阻力。應力引起的熱力學參數。熱力學參數包括 (i) 負極和 (j) 正極的初始鋰化狀態,(k) 負極和 (l) 正極容量
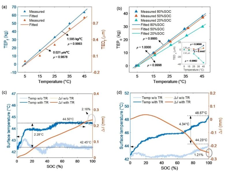
圖 3(b)中的電池熱膨脹力 TEPc 與溫度呈線性相關,熱膨脹系數αTEP 隨 SOC 的增加而增加,范圍為 0.70 至 0.87 kPa/°C。為了分析熱膨脹應力的大小,我們提出了一個新參數 λTEP 來表示 25 °C 時 αTEP與嵌鋰所誘導膨脹力Δσs 的比值。λTEP 的變化小于1.60%,表明 10 °C 的 TR 導致的壓力變化小于 16%。圖3(b)表明當電極層之間的間隙被填充到 25 °C以上時,電池的熱膨脹隨溫度線性增減。然而,在 20% SOC 時觀察到了與熱膨脹位移 TEDc 和 TEPc 相反的趨勢,這表明由于電極之間接觸狀態的不同,機械限制可能會導致不同的實驗結果。此外,為了進一步分析實際電池運行中的熱膨脹程度及其與 SOC 的相關性,我們設計了產生或不產溫升 TR 的 1 C 充電和 1.5 C 放電膨脹試驗。如圖 3(c 和 d)所示,充電結束時 2.28% 的 TR 導致膨脹增加 2.16%,而放電結束時 1.21% 的 TR 導致膨脹減少 4.34%。這些結論為理解熱機械耦合行為提供了基礎,并闡明了在機械限制條件下進行實驗設計的必要性。

圖3.熱膨脹特性分析。(a) 組合夾具和傳感器的熱膨脹壓力。(b) 電池在 20%、50% 和 80% SOC 時的熱膨脹壓力和位移。(c) 1 C 充電和(d) 1.5 C 放電時,有TR和無TR的溫度和膨脹厚度變化。
在多場耦合問題中,由于耦合關系的復雜性和多樣性,必須進一步量化兩個場之間的相關性和依賴性程度。圖 4(a)至(d)顯示了特征參數與溫度T 和壓力σ等物理場之間的歸一化MIC和 MRC。在圖 11(a)中,除Q+max外,所有電化學參數的溫度相關性都大于 0.6 Temp@MIC,但機械參數與溫度的相關性最弱。在圖 11 (c) 中,一個有趣的現象是所有機械參數都與壓力高度相關,而壓力與電化學參數之間的 Pres@MIC 卻小于 0.6。雖然基于 MIC 的相關性評估表明這兩個領域之間存在某種聯系,但其相互作用的程度尚未確定,而這正是評估電池性能可靠性和估算算法魯棒性的關鍵。對于耦合強度分析,如圖 11(b)所示,Temp@MRC 的溫度誘導特征參數表明改善電解液的溫度特性和固液反應界面的活性面積是提高電池容量和功率性能的有效途徑。Pres@MRC的壓力誘導的機械參數表明Δδ 具有較低的溫度和壓力靈敏度,而 Δσ 則具有較高的壓力靈敏度和適中的溫度靈敏度。在實際應用中,壓力信號比精度低的應變傳感器更容易獲得。因此,建立以壓力為輸入、應變為輸出的高精度機械模型更為合理,有助于實現電池早期故障的在線診斷。在電池運行過程中,電池的熱電耦合比其他兩場耦合更為強烈。這一結論有助于設計解耦實驗和開發多場耦合建模方法,從而確保電動汽車實際運行過程中 BMS 功能的可靠性。

圖4.(a) 溫度誘導參數的歸一化 MIC 和 (b) MRC。(c,d)壓力誘導參數。參數分為三類:電化學參數、機械參數和熱參數。
04 總結與展望
本文提出了機械約束實驗與原位定量框架相結合的分析框架。在三種機械約束條件下直接測量了多物理場信號,從而創建了一個全面的表征數據集以揭示多場耦合機制,分離 SOC、溫度和壓力對機械行為的影響,并量化多物理場之間的耦合度。結果表明,耦合行為與電池電化學特性密切相關。由于關鍵控制步驟的改變,溫度導致了不同程度的壓力誘導阻抗的變化以及不同的發熱和性能改善效果。與活性表面積密切相關的界面阻抗的變化進一步證明了最佳壓力范圍與溫度的關系, 例如10 ℃ 時 180 至 240 kPa,25 ℃ 時 100 至 150 kPa,40 ℃ 時 50 至 100 kPa。在 20% SOC 的熱誘導機械行為中,由于彈性模量隨溫度升高而增加,機械約束導致了不同程度的熱膨脹。在充電過程中,升高每單位溫度將產生 1.60% 的膨脹力。通過MIC和MRC的量化結果表明,電化學參數與溫度的相關性很高,而機械參數與壓力的相關性很強。所有電化學參數對溫度的敏感性遠高于壓力,這表明電化學-熱場的耦合度最高。
這項工作凸顯了分析程序在可視化和量化多場耦合方面的潛力,為耦合相互作用機制提供了更深入的見解,并為多場模擬提供了解決方案。這些進展將不可避免地指導電池性能的提高和優化結構設計。
X. Cai, C. Zhang, Z. Chen, L. Zhang, D. Uwe Sauer, W. Li, Characterization and quantification of multi-field coupling in lithium-ion batteries under mechanical constraints, Journal of Energy Chemistry (2024),

蔡雪
北京交通大學電氣工程學院博士研究生,德國亞琛工業大學聯合培養博士研究生。研究方向為機械壓力下動力/儲能電池性能優化設計和安全管理技術研究。

張彩萍
北京交通大學電氣工程學院教授、智能交通綠色低碳技術教育部工程研究中心副主任。長期從事動力/儲能電池優化控制與安全管理技術研究,主持多項國家自然科學基金項、國家重點研發計劃項目課題。發表SCI期刊論文70余篇,獲國家科技進步二等獎、教育部科學技術發明一等獎、國家自然科學優秀青年基金。

Weihan Li
亞琛工業大學 “電池人工智能” 青年研究團隊負責人。于2021年與2017年分別獲得亞琛工業大學電氣工程與信息技術博士學位與汽車工程碩士學位。曾在倫敦帝國理工學院、牛津大學、麻省理工學院、德國大眾集團和德國保時捷集團從事研究工作,并獲得多項獎項,包括德國聯邦教育與研究部的BattFutur Starting Grant、德國埃爾福特科學院的Reichart Prize、德國vgbe基金會創新獎、歐盟電池青年研究獎以及亞琛工業大學創新獎等。


