金牌會員
已認證
前 言
鋰離子電池原材料主要有正極材料、負極材料、集流體、電解液和隔膜。正負極材料通常為微米級粉體材料,其中常見的鋰離子電池正極粉體材料有層狀鈷酸鋰、橄欖石結構磷酸鐵鋰、尖晶石結構的錳酸鋰以及層狀鎳鈷錳三元材料(以下簡稱NCM)。其中鈷酸鋰(LiCoO?, LCO)在基于3C類(計算機、通信和消費)電子電池中占據主導地位,其具有高能量密度、高電壓平臺、放電平穩、生產工藝簡單等優勢。鋰離子電池的工藝生產環節中極片制作工藝非常重要。鋰離子電池極片制造一般工藝流程為:活性物質,粘結劑和導電劑等混合制備成漿料,然后涂敷在銅或鋁集流體兩面,經干燥后去除溶劑形成極片,極片顆粒涂層經過壓實致密化,再裁切或分條。通過研究提升極片的性能,對電池的穩定性、安全性和實用性有非常重要的意義。其中,研究構成電極的粉體材料的性能,建立標準的電極粉體評估模型十分重要。
本文主要以四種不同粒徑分布的鈷酸鋰粉體材料為基礎,測試粉體在不同壓力下的電阻率、壓實密度,結合掃描電鏡測試,分析鈷酸鋰粉體的力學-電學性質變化。同時結合實驗結果,建立四種鈷酸鋰粉末對應的離散元模型,對鈷酸鋰粉體在壓實過程中的力學-電學變化給出理論解釋。
1. 測試方法
1.1 實驗流程:
采用元能科技公司研發的PRCD3100型號的壓實粉末電阻儀對四種鈷酸鋰粉末進行電導率、壓實密度及壓縮性能測試。測試的樣品和設備如圖1所示。測試參數:上壓頭依次對鈷酸鋰粉末施加10-200MPa的壓強,間隔20MPa,保壓10s。

圖1.實驗材料及流程圖
1.2 四種材料在200MPa下的形貌測試:
采用掃描電鏡分別測試四種LCO粉體材料在200MPa壓實情況下的形貌,圖2分別為LCO-1、LCO-2、LCO-3、LCO-4四種材料的SEM測試結果,從圖上可以明顯看出四種材料的顆粒分布及顆粒大小均有明顯差異,其中LCO-1包含了約5μm-30μm范圍內多種粒度的樣品,LCO-2包含了約5μm-15μm范圍的粉體,LCO-3樣品包含了約10μm-45μm范圍的粉體,LCO-4則主要是粒度約為5μm的小顆粒。粒度分布差異直接影響粉體在受壓過程中的充填效應,且與材料間的壓實密度、電子導電性能及壓縮性能緊密相連。同時,圖中可以清晰地看到鈷酸鋰二次顆粒被壓裂破碎,產生剪切破壞。
在輥壓工藝過程中,隨著輥壓壓力不斷增加,極片主要的形貌變化包括:①極片厚度變薄,表面粗糙度減小,極片表面更光滑;②極片各組分接觸更緊密,空隙壓合減少;③集流體與涂層結合增強,顆粒壓入箔材表面形成凹坑;④過壓情況下,活性顆粒破碎,二次顆粒間形成可見裂紋。輥壓工藝必須采用合適的壓力條件,使極片達到合理的壓實密度。過壓可能導致破碎顆粒喪失活性顆粒本省優異性能, 穩定性變差,而且可能使導電網絡破裂降低極片電導率。

圖2.鈷酸鋰粉體的整體和局部SEM圖像
2. 實驗分析
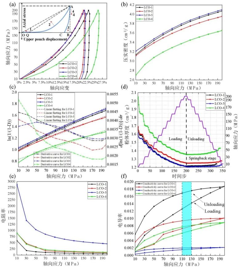
圖3顯示了粉末壓實儀給出的粉體壓實過程中的應力應變曲線、壓實密度曲線、粉體塑性曲線、粉體厚度及施加力曲線、電阻率曲線和電導率曲線。粉體材料的壓縮性能與顆粒形狀、粒徑及其分布等諸多因素有關,實際粉體材料在壓力作用下,顆粒堆積由初期的松散狀態經充填效應進一步緊密堆砌,充填效應產生的粉體整體形變是主要的不可逆形變;當顆粒之間全部為最緊密堆積時,壓力作用下顆粒首先會發生彈性形變,會有應力的產生,這種形變是一種可逆形變,當壓力卸載時這種形變會發生可逆回彈;當壓力超過粉體材料的屈服強度,顆粒發生塑性形變,這也是不可逆形變。實際粉體顆粒壓縮過程中是多重力共同作用的,應力也是一個綜合變化的過程。

圖3.粉體壓實實驗數據曲線
3. 離散元仿真
3.1 模型構建
在PFC軟件輸入粉體的真實粒徑分布,分別生成13418、50568、31455和61149個球體代表四種鈷酸鋰粉體,粉體四周設置固定約束代表治具工裝,上表面施加10-200MP的壓力,圖4為離散元模型。

圖4.粉體離散元模型
3.2 理論分析
結合圖3實驗中粉體應力應變曲線,將愛丁堡彈塑性黏附模型(EEPA)施加到粉體顆粒之間作為接觸模型,EEPA可看作線彈性模型胡克定律的變形。公式(1)給出了EEPA模型定義的應力應變關系。

公式(1)
圖5繪制了EEPA模型中粉體的作用機理示意圖。

圖5.EEPA模型簡介
3.3 模擬結果分析
圖6展示了離散元模擬的應力應變曲線和實驗曲線的對比圖。圖中結果顯示根據EEPA模型,可以非常好的計算出給定工況下的曲線。這說明該模型與實驗過程吻合度比較高,采用該模型可以有效模擬顆粒的壓實過程,從而指導粉末壓實電導率的測試以及極片的輥壓工藝。

圖6.離散元仿真模擬圖
圖7為LCO4粉體的力鏈圖,顯示出粉體在50MPa和200MPa下的顆粒間的接觸力分布。顏色越暖、線條越粗表示接觸力越大,接觸越好。外荷載加載方式、體系尺寸、顆粒無序排布和顆粒物性參數等決定了力鏈結構、而力鏈結構網絡決定了體系的應力傳播模式。力鏈圖一定程度上也表示電流的傳導路徑,在外荷載影響下力鏈發生的斷裂和重構會導致應力傳遞路徑的變化,也會影響電子得傳導路徑,力鏈網絡和電導率的關系值得進一步研究。

圖7.粉體的力鏈分布圖
圖8為各向異性接觸組構圖,球形被分為3600個等表面積的區域,每個方向的柱體長度表示該方向的接觸強度,顏色越暖強度越大。由圖可知,粉末軸向壓實之后存在明顯的各項異性。大量研究表明電池極片輥壓壓實之后也同樣具有各項異性特征,比如石墨顆粒更多地形成與集流體平衡分布的形貌;極片電導率在厚度和橫向方向上也存在幾個數量級的差異;以及孔隙迂曲度也存在明顯的方向差異,往往厚度方向孔隙迂曲度比其他方向更大,特別是對于片狀或橢圓形顆粒形貌。這種接觸組構圖與電阻率有高度的相關性。

圖8.各向異性接觸組構
總 結
本文以四種不同粒徑分布的鈷酸鋰粉體材料為基礎,結合元能科技PRCD3100系列粉末電阻&壓實密度儀,測試粉體在不同壓力下的電阻率、壓實密度,同時結合實驗結果,建立四種鈷酸鋰粉末對應的離散元模型,對鈷酸鋰粉體在壓實過程中的力學-電學變化給出合理的理論解釋,同時為粉體材料力學性能研究提供一種新的思路。
參考文獻
[1] Q. Liu, J.G. Wang, B.W. Hu, Acs Omega.
[2] S.C. Thakur, H. Ahmadian, J. Sun, J.Y. Ooi, Particuology, 12 (2014) 2-12.


