金牌會員
已認證
近年來新能源行業對電池的能量密度、功率性能的需求越來越高,更高能量密度電池與更大功率的鋰離子電池技術亟待開發。鋰離子電池電阻是衡量電池性能的重要指標之一,電池電阻的大小直接影響鋰離子電池的容量、功率大小、循環壽命及安全性能[1-2]。影響鋰離子電池電阻的因素有電極材料、配方、電解液、勻漿涂布工藝、極片電阻等,其中極片電阻反映了電極材料性能及配方的優劣。
在多孔電極中,固相導電顆粒組成電子導電網絡,分布在孔隙電解液構成的液相離子傳輸網絡中,因此多孔電極中電子導電網絡和離子傳輸網絡的結構設計與電極性能密切相關。如何將活性物質、導電劑與粘結劑組裝成離子和電子高效導電的復合電極,對電池性能的提高具有重要的意義。同時由于極片的曲折度(麥克馬林數)代表了多孔電極傳輸路徑的彎曲程度,可表征鋰離子在涂層中遷移的難易程度,與多孔電極傳輸特性相關參數的關系可用式(1)來表示[3]:

式中:Deff代表有效擴散率;D0代表材料本身固有擴散率;ε為多孔電極中的孔隙率;τ為極片的曲折度,Nm為麥克馬林數。可以發現有效離子電導率與電極的曲折度成反比。因此,為了提高電解液的滲流能力和離子的遷移速率,具有低曲折度的電極結構設計已成為多孔電極設計的關鍵原則[4]。
本文主要采用相同的沉積工藝、涂布工藝,連續生產四個批次的氣相硅碳負極片,利用元能科技(廈門)有限公司的極片電阻儀(BER2500,IEST)評估成品極片的電子導電性能,使用多通道離子電導率測試系統(EIC1400K,IEST)評估成品極片的離子導電性能。通過對極片電阻的測試,評估極片批次的穩定性。
1. 測試條件&方法
1.1 測試設備

圖1.極片電阻儀BER2500外觀(a)及內部結構圖(b)
極片電子電阻測試:圖1為元能科技自主研發的極片電阻儀(BER2500,IEST),電極試樣直徑14mm,可施加壓強范圍5~60MPa。可同步采集極片的電阻、電阻率、電導率、壓實密度等參數,設備如圖1(a)和(b)所示。
極片離子電阻測試:采用元能科技自研的多通道離子電導率測試系統(EIC1400K,IEST)如圖2所示,該設備包含4個對稱電池組裝治具(圖2(b)),可實現四通道快速測試電化學阻抗譜。壓力范圍0~20Kg,頻率范圍1500~0.1Hz。

圖2.多通道離子電導率測試系統:設備外觀(a);電池組裝治具(b)
1.2 測試樣品
采用相同的沉積工藝、勻漿涂布工藝,連續生產四個批次的氣相硅碳負極片(B1,B2,B3,B4);漿料配方為:氣相硅碳:SP:CNT:LA133=94%:1%:1%:4%。
1.3 測試流程
極片電子電阻測試:準備4個批次制備的5*10cm的極片各一張;在MRMS軟件上設置測試參數,選擇單點測試模式,壓強選擇5MPa、保壓15s,每張極片采樣6個數據,軟件自動讀取極片厚度、電阻、電阻率、電導率等數據。
極片離子電阻測試:在手套箱中通過治具組裝極片的對稱電池,將組裝好的治具放入設備中,設置20kg的力對治具進行施壓,約10min后,在軟件上點擊開始實驗,測試電池電化學阻抗, 最后通過軟件的擬合、計算得到極片的麥克馬林數。
1.4 麥克馬林數計算方法

式中:τ 為曲折度;Rion為離子電阻;A為極片面積;ε為極片孔隙率;σ為電解液電導率;d為極片的厚度。由于極片孔隙率的測試方法較為復雜,通常用曲折度和孔隙率的比值,即麥克馬林數(Nm = τ / ε)來表征極片的曲折度,如式(3)所示。

利用電化學工作站測試對稱電池的電化學阻抗譜,如圖3所示。此時電化學阻抗譜的Nyquist圖具有低頻區域線段和高頻區域線段相交的形狀特點,這是無電化學反應的典型Nyquist圖。將Nyquist圖中低頻線段延長,直至與X軸相交,該點橫坐標的值為Rh,高頻線段和X軸的交點的值為Re,涂層的離子阻抗Rion=(Rh-Re)*3,將擬合得到的離子阻抗Rion代入公式(3)中計算可得到極片的麥克馬林數,進而分析極片的曲折度。

圖3.對稱電池的電化學阻抗譜圖
2. 結果分析
2.1 極片電子電阻分析

圖4.不同批次極片的電阻(a)和電阻率(b)測試結果
從圖4的極片電阻和電阻率的趨勢可以看出,批次1的極片電阻一致性差,批次2、3、4一致性較好,COV<5%,但極片電阻也存在著差異,這說明雖然制備工藝一致、并且添加了相同的導電劑,但是活性材料本身的電導率和形貌等也會影響極片的導電性能,從而影響電池性能。
2.2 極片離子電阻分析
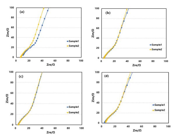
對不同批次的硅碳負極片組裝對稱電池進行電化學阻抗譜測試,結果如圖5(a)、5(b)、5(c)、5(d)所示。對阻抗圖譜進行擬合得到各批次極片的離子電阻,再將離子電阻值代入公式 (3) ,得到極片麥克馬林數,如表1所示。從離子電阻Rion和麥克馬林數Nm的數值來看,和電子電阻的趨勢比較一致,B1批次的離子電阻一致性較差,其他三個批次一致性較好,但離子電阻也存在一定的差異。

圖5.不同批次極片的阻抗譜圖: B1(a); B2(b); B3(c)及B4(d)
表1.不同批次硅碳負極的離子電阻和麥克馬林數

由以上分析可知,不同批次的硅碳負極片的電子電阻和離子電阻的趨勢比較一致,測試極片電阻可在極片端篩選出一致性較差的樣品,從而能夠快速判定批次異常,對于提高生產效率和產品質量具有重要意義。
3. 總結
本文使用元能科技(廈門)有限公司研發的極片電阻儀(BER2500,IEST)和多通道離子電導率測試系統(EIC1400K,IEST) 對相同工藝連續生產的四個批次的氣相硅極片進行極片電子電阻和離子電阻測試,從測試結果可以得出極片的電子電阻和離子電阻的趨勢比較一致,均能檢測出異常的極片。電子電導差異代表導電劑網絡分布的均勻性,說明B1批次極片在制備過程中存在導電劑分散不均的問題,由于導電劑通常分散于活性顆粒的孔隙中,則可表明極片的孔隙分散不均。鋰離子在孔隙內通過電解液傳導,傳導特性與孔隙率密切相關,孔隙分散不均勻從而導致極片離子電阻一致性差。
在極片的生產過程中可以通過監控極片電子電阻和離子電阻篩查出有異常的批次,為研發和產線批次穩定性監控提供了快速的檢測手段。科研工作者也可以通過測試極片的離子電阻和麥克馬林數初步判斷極片組裝成電池后的電化學性能,從而縮短材料的評估周期,提高研發效率。
4.參考文獻
[1] 魏學哲,徐瑋,沈丹. 鋰離子電池電阻辨識及其在壽命估計中的應用[J]. 電源技術,2009, 33(3):217-220.
[2] 徐曉東,劉洪文. 鋰離子電池電阻測試方法研究[J]. 中國測試, 2010,36(6):24-26.
[3] Kuang Y, Chaoji C, Kirsch D, et al. Thick Electrode Batteries: Principles, Opportunities, and Challenges [J]. Advanced Energy Materials, 2019, 9 (33) : 1-19.
[4].Waldmann T, Hogg B I, Wohlfahrt-Mehrens M. Li plating as unwanted side reaction in commercial Li-ion cells-A review. Journal of Power Sources, 2018, 384: 107-124.



