4 年
高級會員
已認證
IUPAC介紹(3)
IUPAC
國際純粹與應用化學聯合會
IUPAC:International Union of Pure and Applied Chemistry (IUPAC) 國際純粹與應用化學聯合會,又譯 國際理論(化學)與應用化學聯合會, 是一個致力于促進化學相關的非政府組織,也是各國化學會的一個聯合組織。以公認的化學命名權威著稱。命名及符號分支委員會每年都會修改IUPAC命名法,以力求提供化合物命名的準確規則。IUPAC 也是國際科學理事會的會員之一。

BET
比表面積
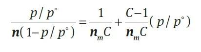
1. IUPAC有BET使用方法的詳細介紹,關于不同樣品的選點范圍,計算比表面積的方法BET公式的運用方法及條件,詳細請看本公眾號系列文章“BET方法介紹”:

2.對于微孔材料表征,除了77K氮氣吸附之外,推薦使用87K氬氣吸附,以及273K的二氧化碳吸附。
87K氬氣吸附時:
Ar分子是球形分子,且四級矩為0,吸附時的分子截面積是穩定的。
N2分子是棒狀分子,具有四級矩,吸附時的分子截面積不確定。

沸石分子篩分別氮氣和氬氣吸附曲線
M. Thommes, K.A. Cychosz, Adsorption (2014) 20, 233-250
M. Thommes in Introduction to Zeolite Science and Practice (2007) 495-523
3. 273K二氧化碳吸附可以提供低壓段微孔孔徑分布結果,作為氮氣/氬氣吸附曲線低壓段比較難測試的補充。

CO2吸附和氮氣/氬氣吸附曲線結合
華璞恒創 2022-01-21 | 閱讀:3479

