高級會員
已認證
BET
物理吸附過程中,在非常低的相對壓力下,首先被覆蓋的是高能量位。具有較高能量的吸附位包括微孔中的吸附位(因為其孔壁提供重疊的位能)和位于平面臺階的水平垂直緣上的吸附位(因有兩個平面的原子對吸附質分子發生作用)。此外,在由多種原子組成的固體表面,吸附位能也會發生改變,這取決于暴露于表面的原子或官能團的性質。
但是,能量較高的位置首先被覆蓋并不意味著隨著相對壓力增高、能量較低的位置不能被覆蓋,而只是說明在能量較高的位置上物理吸附分子的平均停留時間較長。因此,當吸附質氣體壓力增高時,表面逐漸被覆蓋,氣體分子吸附于空白表面的幾率增加。在表面被完全覆蓋之前有可能形成第二吸附層或更多的吸附層。在實際情況下,不可能有正好覆蓋單層的相對壓力存在。BET理論可以在不管單分子層吸附是否形成的條件下,能有效地從實驗數據獲得形成單分子層所需的分子數目。
BET理論是Brunauer、Emmertt和Teller在1938年提出多層吸附模型,它發展了Langmuir單層吸附理論。他們把Langmuir動力學理論延伸至多層吸附,所作的假設除了吸附層不限于單層而可以是多層外,與Langmuir理論所作的假設完全相同。BET理論假設吸附在最上層的分子與吸附質氣體或蒸氣處于動力學平衡之中。
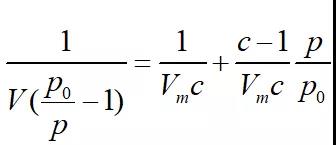
BET方程如下:

其中V——吸附氣體體積;
Vm——單層吸附氣體容量;
c——常數,與吸附劑、吸附質之間相互作用力有關;
p/p0——相對壓力
利用實驗數據,以1/[v(p0/p-1)]對p/p0作圖,一般在相對壓力0.05≤p/p0≤0.35間能得到一條很好的直線:

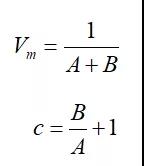
直線的擬合方程表示為:yA+Bx,截距A=1/Vmc,斜率B=(c-1)/Vmc。
從而可得:

表面積 S=am·nm·NA
其中am——氮氣在77K溫度下液態六方密堆積的氮分子截面積,數值為16.2×10-20 m2;
nm——層吸附容量(mol),nm=Vm/22.414;
NA——Avogadro常數,數值為6.022×1023。
上述方程就是BET多點法計算比表面積的公式。


