金牌會員
已認證


王洪亮老師課題組
中國農業大學
1、老師簡介
王洪亮老師是中國農業大學教授,博士生導師。入選了2022、2023年全球前2%頂尖科學家榜單,受聘中國農業大學首批“人才培育發展支持計劃”青年新星 A 類崗位。主持國家自然科學基金、重點研發計劃子課題、重大橫向項目等10余項。長期聚焦于生物質高效、高值轉化利用研究工作,針對我國秸稈等生物質高值化利用率低、資源浪費嚴重這一重大問題,利用化學、化工、生物和農學等多學科的知識和研究手段,深入研究了木質纖維素類生物質拆解活化、修飾改性及降解轉化過程中的基本科學問題和關鍵技術,將生物質轉化成化學品和農業綠色投入品等高值產品。近幾年在ACS Energy Letters、Advanced Functional Materials、ACS Nano、Green Chemistry、Renewable and Sustainable Energy Reviews等期刊上發表論文90余篇,申請國內外發明專利10余項。擔任了專業領域期刊Carbon Research、Biochar、Agronomy、《燃料化學學報》、《林產化學與工業》編委或青年編委。
2、論文研究背景
利用可再生生物質資源代替化石資源生產燃料和化學品是實現可持續發展和“雙碳”目標的重要路徑之一。半纖維素衍生的糠醛(FFA)因其獨特的化學結構(由呋喃環和醛基組成),可以通過加氫反應轉化為多種先進燃料和高附加值化學品。
環戊酮(CPO)是一種用途廣泛的中間體,不僅可用于合成農藥、藥品、橡膠和香料化學品,還可用作生產高密度多環航空噴氣燃料的前體。環戊醇(CPL)也廣泛應用于制藥、香料和殺蟲劑行業,可用作重要的中間體或溶劑。目前,CPO和CPL的工業生產依賴于己二酸熱解和環戊烯的直接氧化。鑒于化石資源不可再生和日益嚴重的環境問題,將可再生的生物質衍生糠醛高選擇性轉化為CPO和CPL無疑是一條更具前景的生產途徑。然而,當前用于催化FFA轉化為CPO和CPL的催化劑仍然面臨著各種挑戰,如需要在較為苛刻的反應條件(高溫和高壓)下進行、貴金屬催化劑成本高以及非貴金屬催化劑選擇性低等。因此,迫切需要開發高效、低成本的催化劑,用于在工業相關條件下進行糠醛的選擇性加氫反應。
過渡金屬磷化物(TMPs)具有優異的氫化活性和穩定性,作為貴金屬催化劑的經濟替代品受到了廣泛關注。尤其是磷化鎳催化劑在生物質含氧化合物的氫化或加氫脫氧反應中也表現出了卓越的催化性能。然而磷化鎳催化劑的合成依然存在三個主要問題:(i)利用磷酸鹽路線合成磷化鎳催化劑通常需要高溫熱解,這往往會導致形成大尺寸晶體,進而降低催化劑的活性和穩定性。(ii)已報道的大多數磷化鎳催化劑合成方法都使用次亞磷酸鹽(NH4H2PO2或NaH2PO2)或有機膦(三正辛基膦或三苯基膦)作為磷源。前者在合成過程中會釋放出有毒和可自燃的PH3氣體,而后者則會因有機試劑的高溫分解而產生腐蝕性和易燃性。(iii)雖然存在各種具有特定P/Ni摩爾比的磷化鎳晶相(Ni3P、Ni12P5、Ni2P、Ni5P4等),但實現不同晶相磷化鎳的可控合成仍是一項重大挑戰。此外,磷化鎳晶相與催化加氫性能之間的相關性也鮮有報道。因此,開發一種創新、安全、環保的方法來相控合成活性相高度分散的磷化鎳催化劑,對于生物質轉化具有重要的意義和實用價值。
3、論文亮點/摘要
文章亮點:(1)利用植酸輔助熱解策略實現了不同晶相磷化鎳催化劑的可控合成,植酸上的磷酸基團可以螯合Ni2+,有利于磷化鎳納米顆粒在介孔二氧化硅上的均勻分散。(2)磷化鎳催化劑在糠醛加氫過程中表現出有趣的相依賴催化性能。Ni12P5/mSiO2可以高選擇性催化糠醛加氫重排到環戊酮,產率最高可達到97.3%,Ni3P/mSiO2則可將環戊酮進一步氫化為環戊醇。Ni3P/mSiO2對加氫和重排表現出溫度可控選擇性,低溫下主要生成糠醇,高溫下,則主要生成環戊酮。(3)研究表明晶體結構通過改變的磷化鎳催化劑的氫化活性、酸性位點數量和糠醛在表面的吸附構型,從而影響糠醛加氫轉化的選擇性。
摘要:開發廉價高效的催化體系將生物質糠醛高選擇性加氫轉化為高附加值化學品具有重大研究意義也是一項巨大挑戰。本文報道了一種“植酸輔助熱解”策略,通過調控植酸在介孔二氧化硅上的涂覆量實現了三種晶體結構磷化鎳(Ni3P/mSiO2、Ni2P/mSiO2、Ni2P/mSiO2)催化劑的可控制備。不同晶體結構的催化劑具有不同物化特性和電子結構,因而在催化糠醛加氫轉化反應中展現了不同的催化選擇性。Ni12P5/mSiO2在150 °C, 1 MPa H2的條件下實現了97.3%的環戊酮產率,當H2壓力增加到2 MPa時,Ni3P/mSiO2可以進一步氫化環戊酮生成環戊醇,產率為60.8%。Ni2P/mSiO2對加氫和重排表現出溫度可控的選擇性,在90 °C的低溫下,糠醇為單一產物,而在高溫(170 °C)下,環戊酮為唯一產物。研究表明不同磷化鎳催化劑之間的加氫重排選擇性主要歸因于催化劑的氫化能力和酸性位點數量以及糠醛的吸附構型。

4、圖文解析
1、植酸輔助熱解策略相控合成磷化鎳催化劑

圖1:NixPy/mSiO2催化劑的合成示意圖
不同晶體結構的NixPy/mSiO2催化劑的合成步驟主要分為三步:(i)首先將mSiO2充分分散在不同濃度的植酸(PA)溶液中,使得PA分子均勻的涂覆在mSiO2 的表面形成PA-mSiO2復合物;(ii)得益于PA分子具有6個磷酸基團,使其對Ni2+具有很強的螯合能力,從而形成Ni2+/PA-mSiO2復合物。(iii)在還原過程中,PA作為P源,合成NixPy/mSiO2催化劑。

圖 2:(a)Ni/mSiO2;(b)Ni3P/mSiO2;(c)Ni12P5/mSiO2;(d)Ni2P/mSiO2的TEM圖像(50 nm)。(e)Ni/mSiO2,(f)Ni3P/mSiO2,(g)Ni12P5/mSiO2和(h)Ni2P/mSiO2的HRTEM 圖像(10 nm)及其相應的晶格紋圖像
傳統浸漬法合成的Ni/mSiO2催化劑上的Ni納米顆粒出現了團聚現象,Ni納米顆粒的平均粒徑約為8.56 nm。Ni3P/mSiO2、Ni12P5/mSiO2和Ni2P/mSiO2三種磷化鎳催化劑上的Ni納米顆粒則分散得較為均勻,它們的平均粒徑分別為3.76、5.58和6.40 nm。該結果表明PA對Ni2+的親和力有利于最終催化劑上Ni納米顆粒的均勻分散。值得注意的是,Ni納米顆粒的分散程度與PA涂覆量的關系并不是“越多越好”,過度的PA也會引起Ni納米顆粒的富集,從而降低其的分散度。
2、 催化劑的酸性表征

圖 3:(a)Ni/mSiO2、Ni3P/mSiO2、Ni12P5/mSiO2和Ni2P/mSiO2催化劑在200 °C時的NH3-TPD曲線和(b)吡啶-傅立葉變換紅外光譜
Ni/mSiO2分別出現了以86、352和501 °C 左右為中心的三個弱峰,總酸量為3.43 mmol/g。而NixPy/mSiO2催化劑的峰值主要分布在弱酸和強酸位點。其中Ni3P/mSiO2和Ni12P5/mSiO2的脫附曲線在100 °C左右出現一個強信號峰,表明存在大量弱酸位點,他們的總酸量分別提高到6.34和8.48 mmol/g。而Ni2P/mSiO2酸量較低只有2.8 mmol/g。
Ni/mSiO2的Lewis酸和Br?nsted酸性位點的數量分別為4.34和102.8 μmol/g。三種磷化鎳催化劑的Br?nsted酸性位點的數量隨著P/Ni比的增大而升高,順序為Ni3P/mSiO2(4.32 μmol/g)< Ni12P5/mSiO2(8.88 μmol/g)< Ni2P/mSiO2(12.68 μmol/g)。值得注意的是,Ni3P/mSiO2和Ni12P5/mSiO2中的Lewis酸性位點數量顯著增加,分別提高到444.5和330 μmol/g。根據以往的研究報道,Lewis酸性位點能夠促進糠醛環重排反應的進行。因此,磷化鎳的晶體結構對催化劑的酸性位點數量起著決定性作用,從而影響催化性能。
3. 糠醛加氫催化活性評價

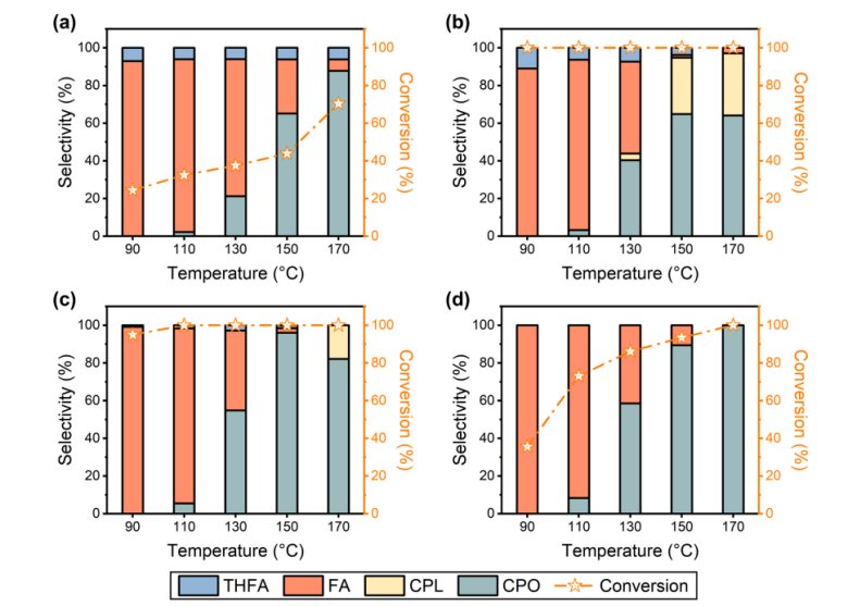
圖 4 :溫度對FFA轉化率和產物選擇性的影響(a: Ni/mSiO2, b: Ni3P/mSiO2, c: Ni12P5/mSiO2, d:Ni2P/mSiO2)。反應條件:2 mmol FFA,50 mg 催化劑,20 mL H2O,1 MPa H2,90-170 °C,2 h

圖 5:初始H2壓力對FFA轉化率和產物選擇性的影響(a: Ni/mSiO2, b: Ni3P/mSiO2, c:Ni12P5/mSiO2, d: Ni2P/mSiO2)。反應條件:2 mmol FFA,50 mg 催化劑,20 mL H2O,150 °C,0-2 MPa H2,2 h

圖 6 :FFA 轉化率和產物濃度隨時間變化趨勢(a: Ni/mSiO2, b: Ni3P/mSiO2, c: Ni12P5/mSiO2, d:Ni2P/mSiO2)。反應條件:2 mmol FFA,50 mg 催化劑,20 mL H2O,150 °C,1 MPa H2, 0-210 min
為了探究磷化鎳的晶體結構(Ni3P、Ni12P5和Ni2P)對催化活性的影響,以Ni/mSiO2作為對照,優化反應溫度,初始H2壓力和反應時間系統研究了三種磷化鎳催化劑對催化糠醛加氫的活性。Ni3P/mSiO2具有最高的加氫活性,在150 °C,2 MPa H2壓力下獲得了60.8%的環戊醇產率。Ni12P5/mSiO2因具有中等的加氫能力和豐富的Lewis酸性位點,在150 °C,2 MPa H2壓力下反應3 h可以實現97.3%的環戊酮產率。Ni2P/mSiO2對加氫和重排表現出溫度可控的選擇性,在90 °C 的低溫下,糠醇為單一產物,而在高溫(170 °C)下,環戊酮為唯一產物。這歸因于其對糠醛的傾斜吸附和Ni2P/mSiO2較弱的氫化能力。
4. 糠醛加氫重排反應動力學探究

圖 7:(a, b)FFA和(c, d)FA轉化率隨反應溫度和時間的變化,以及(e, f)Ni/mSiO2和Ni12P5/mSiO2上FFA和FA轉化率的Arrhenius圖。反應條件:2 mmol FFA/FA,20 mg 催化劑,20 mL H2O,1.0 MPa H2,5-40 min
在130-160 °C條件下,FFA和FA的轉化率與反應時間呈線性關系,反應速率(線的斜率)也隨著溫度的升高而增加。ln k與1000×1/T之間呈線性關系,表明反應體系符合一階反應動力學行為,并根據阿倫尼烏斯方程(ln k = ?Ea/RT+C)擬合線的斜率計算出表觀活化能。在Ni/mSiO2和Ni12P5/mSiO2上的FFA加氫活化能分別為18.5和27.85 kJ/mol,這表明P的存在會略微降低加氫活性。相比之下,Ni12P5/mSiO2上FA 重排的活化能為13.8 kJ/mol,低于Ni/mSiO2的活化能(23.3 kJ/mol)。結果表明Ni12P5/mSiO2比Ni/mSiO2具有更高的 FA 重排活性。
5. 糠醛加氫重排反應機理探究

圖 8 :Ni12P5(001)表面FFA加氫重排生成CPO的反應機理示意圖。插圖顯示了Ni(111),Ni12P5(001)和Ni2P(001)表面上FFA加氫重排生成CPO的計算能量分布。數字代表相應中間體的吸附能
首先,FFA通過C=O基團傾斜吸附在Ni12P5(001)表面,吸附能為?0.83 eV。然后,H2被激活,攻擊Ni金屬位點上FFA的C=O,生成FA。隨后,FA在水的存在下發生環重排反應生成4-羥基-2-環戊烯酮(4-HCPEO),并通過脫水反應迅速轉化為2-環戊烯酮(2-CPEO)。最后,2-CPEO被迅速氫化為CPO,后者從催化劑表面脫附,完成整個反應。經計算,從FA到CPO的整個步驟都是放熱的,能量順序為Ni12P5(1.11 eV)>Ni2P(0.57 eV)> Ni(0.32 eV),這表明P的存在有利于重排反應。對于Ni(111),C5H6O*加氫生成 C5H8O是限速步驟,能壘為0.60 eV,這主要是由于平躺式吸附構型導致CPO脫附困難。而Ni2P(001)和Ni12P5(001)的限速步驟是C5H8O2*脫水為C5H6O*,能壘分別為0.22和?0.04 eV。結果表明,傾斜的吸附構型明顯有利于CPO的脫附,從而促進了整個反應。此外,Lewis酸性位點對FA的環重排反應也起到了重要的促進作用。
5、本文所用設備
王洪亮老師課題組在實驗中所用高壓機械反應釜由科冪儀器提供,論文中也特別提到安徽科冪儀器有限公司,在此非常感謝老師對科冪儀器的選擇和認可。



科冪儀器
安徽科冪儀器有限公司(Anhui Kemi Instrument Co.,LTD.)成立于2014年,總部設在安徽省合肥市,擁有近萬平方米的研發制造基地。公司持有A2級中國特種設備(壓力容器制造)生產資格許可證,是一家專注于科研儀器設備和中小試及產業化合成反應裝備研發、制造的國家高新技術企業。
科冪儀器依托中國科學技術大學等雄厚的科研力量,研制了多款具有自主知識產權的合成反應設備。技術驅動、方案營銷,專注于非標方案的設計和多維立體化服務。產品已成功進駐國內所有985、211高校實驗室及新材料、新能源、生物制藥、生態環境等戰略新興產業頭部企業,并遠銷歐美、澳洲、中東等地,覆蓋國內外科研及企業客戶20000余家,助推研發應用4000余項,助力用戶發表SCI(一區)論文900余篇。
作為央視《中國品牌故事》入選企業、安徽省專精特新企業、合肥市工業設計中心,科冪儀器秉承“嚴謹專業·創新高效·精益求精·創造價值”的科冪精神,致力于用專業和品質推動產業化的發展,為科研工作者加速取得科研成果提供更加“安全·便捷·精確·高效”的儀器設備。

公司主營科研儀器設備和中小試及產業化合成反應裝備。如:水熱釜、快開式高壓反應釜、高溫爐式設備(熱解爐/CVD爐/回轉爐/真空爐/熱重爐等)、固定床、催化劑評價裝置、光催化反應裝置、LED單波長光源、非標定制設備等。


