16 年
金牌會員
已認證
物理吸附基礎知識十四 如何確定冷自由空間?
如何確定冷自由空間
根據之前的自由空間測試流程圖中的過程C,在熱平衡時,根據質量平衡方程,可得到總的氣體的物質的量為:
(1)

上述方程可簡化為:

(2)

其中nt是總的氣體的物質的量,P3為此時的平衡壓力,Fm是歧管的因子(在前面的問題中有介紹),Vu為此時冷浴液面以上的樣品管體積,Tw是冷浴液面以上的區域溫度,VL是冷浴液面以下的樣品管體積,Tc是冷浴液面以下的區域溫度,FLC是冷浴液面以下的樣品管體積的因子。
在步驟2中
(3)

P2為此時的平衡壓力,Fm是歧管的因子,Ffw是熱自由空間因子。
因此,方程(2)可變為:

(4)

因為,
(5)
Vu為此時冷浴液面以上的樣品管體積,Vfw為冷自由空間體積,VL是冷浴液面以下的樣品管體積。
使用下列等式:
(6)
可得:
將方程(1)變形:

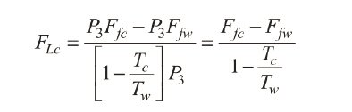
Ffc是冷自由空間因子。解出:


由此,即可解出冷自由空間體積
另外,還有一種獲取冷自由空間體積的方式,即從空管校準、樣品質量和樣品密度來進行計算。先建立空管的冷自由空間體積數據,然后根據樣品質量和樣品的真密度計算出樣品的真實體積,兩者的差值即為冷自由空間體積。
美國麥克儀器 2016-05-18 | 閱讀:3958
最新文章
更多
氣固兩相作用的測試:流化、充氣和透氣性測試
2025-09-25
應用筆記丨通過 IAST 理論計算雙組分混合氣體吸附的選擇性
2025-08-13
應用筆記丨等溫線異常之氦中毒與氦吸附介紹
2025-08-06
表征分子篩吸附劑,Micromeritics 的氣體吸附技術怎么用?
2025-07-09

