白金會員
已認證
原理闡述
SSITKA 實驗裝置
SSITKA實驗裝置示意圖如下圖1所示,包含氣路控制部分、反應器和質譜分析三部分[1]。氣路控制部分要適合于穩態瞬變操作,保證迅速切換且前后狀態處于穩定狀態,同時質譜可以迅速響應。

圖1 SSITKA的實驗裝置示意圖
當前大部分SSITKA實驗是通過在微反上進行搭建而成,屬于手動或者半自動裝置,會帶來手動誤差。北京精微高博儀器有限公司的AMI 300TKA儀器通過特殊氣路設置并配置質譜檢測儀完成SSITKA實驗,如下圖2所示 AMI 300TKA軟件界面圖,氣路控制部分由四通閥完成瞬變切換,Aux Gases和Blend Gases兩種進料流分別通入未標記反應物12CO和同位素標記反應物13CO,四通閥切換后,反應物可由12CO轉換為其同位素標記物13CO。

圖2 AMI300TKA軟件界面
SSITKA實驗可通過下圖3所示程序進行設置,完全自動,無需手動操作,方便可行,消除人為操作誤差,保證測試結果的精確性。

圖3 AMI300TKA儀器SSITKA程序設置
SSITKA 動力學參數求解
一般參數求解
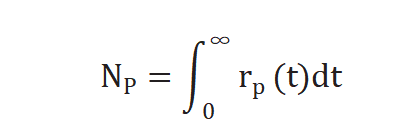
表面中間物種的表面停留時間 τP 和表面中間物種的量 NP
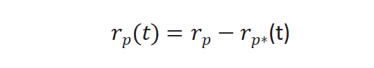
通過質譜檢測到強度如下圖4(a)所示,P為未標記產物,P*為其同位素標記產物,I是惰性示蹤劑,t=0時刻四通閥切換,反應物轉換為同位素標記物,產物P和惰性示蹤劑I呈現衰減而同位素產物P*呈現遞增響應,將產物P的衰減響應進行歸一化處理得到瞬變響應曲線見下圖4(b)。

圖4 (a)質譜圖 (b)瞬變響應曲
不進行動力學假設、不建立表面機理模型,通過瞬變響應曲線可求取兩個參數,生成產物P的中間物種表面停留時間(表面壽命) τP 和表面中間物種的量 NP ,NP 公式如下[2]:

實驗過程中對反應物進行快速切換,反應速率不變,未標記產物反應速率通過下列公式求得[3],r p(t)是未標記產物穩態反應速率,r p*(t) 和同位素標記產物的反應速率。

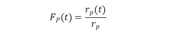
圖4(b)所示未標記產物衰減歸一化得到瞬變響應曲線,FP(t)公式如下:

將上述三個公式重新排序計算得到中間物種的表面停留時間τP :

對瞬變響應曲線積分得出表面停留時間 τP,如圖5所示。

圖5 表面停留時間 τP
表面中間物種覆蓋度θ、反應速率常數K和周轉頻率TOF
采用化學吸附的方法測試出催化劑表面暴露的金屬原子總數NC,通過表面中間物種的量NP計算出中間物種的表面覆蓋度θ,公式如下:

假設表面進行的化學反應為擬一級,擬一級反應的速率方程可表示為:

從而求得擬一級反應速率常數:

TOF周轉頻率表示單位時間內,單位活性位上發生催化反應的次數,這是基于表面活性位點數量的速率,是催化劑瞬時效率的量度,公式如下:

這里的為中間物種的表面覆蓋率,通過反卷積技術可確定催化劑表面活性位點的數量和分布情況,可進一步研究催化反應動力學及其機理。
SSITKA 建模
一個非均相化學反應可能經歷一個或多個催化劑表面中間步驟才能完成,而前面所求的一般參數表面中間物種的停留時間τP 和表面中間物種的量 NP 是生成產物 P 表面中間物種的總停留時間和表面中間物種的總量。為得到生成產物 P 的各中間物種的量及其壽命,Shannon [4]和 Chen [5]等在 Biloen[6]等工作的基礎上,提出了下表1非均相反應催化劑表面機理模型,首先將反應分成可逆和不可逆兩種情況,然后再進一步分成單一反應中間物種、串聯反應中間物種、平行反應中間物種等幾種情況,然后根據物料衡算,推導出瞬變響應模型,由瞬變響應模型求取各反應中間物種的量及其停留時間等動力學參數。

表1 由SSITKA獲得的機理模型、瞬態響應和動力學參數
推斷催化劑表面反應機理
Kobayashi [8]等通過實驗發現通過分析響應曲線的形狀,可以推斷出反應機理。Shannon 等給出了單一反應中間物種、兩個串聯反應中間物種和兩個平行反應中間物種的不可逆反應瞬間響應( 圖6) 。

圖6 不同表面反應機理的瞬變響應示意圖
從上述圖6中,瞬變響應曲線顯示為 S 形,衰減最慢的曲線b為兩串聯反應位,這是由于兩串聯位順序進行反應,用時較長;單指數衰減的瞬變響應曲線a為單一反應位;多指數衰減的瞬變響應曲線c為兩并聯反應位,這是因為并聯反應位在各路徑下平行反應,其衰減速率快呈現多指數疊合狀。觀察瞬變響應曲線可非常容易看出不同動力學模型的差異,從而推斷出催化劑表面反應的差別。
SSITKA 實驗中的影響因素
色譜效應和再吸附
反應物和產物不僅可以吸附在催化劑表面,也有可能吸附在反應器的管路和壁上而產生色譜效應,可通過縮短由四通閥到檢測器的管路和反應器的長度,提高氣體的流速,對管路采取保溫措施來減小產生色譜效應的影響。AMI-300TKA采用1/16的管路減小死體積,對閥箱進行保溫,MFC精確控制氣體流速等措施提高測試精度。
SSITKA實驗中產物的再吸附效應會對瞬變響應產生影響,若產物再吸附發生在活性位導致活性和反應速率下降,若產物再吸附發生在非反應活性位,雖活性不受影響,但測量的生成產物表面停留時間包括產物中間體真實停留時間和再吸附的停留時間。
上述情況一般采用加入惰性示蹤劑和經驗公式進行校正,修正公式如下:

為惰性氣體響應時的表面停留時間,此處x根據經驗一般取0.5。
同位素效應
SSITKA 實驗中假定反應處于穩態條件,忽略同位素效應,即假定同位素物種在動力學行為上沒有差別,此時需特別注意氫及其同位素的使用,因為氫同位素間的質量和鍵能差別相對較大,由此會引起動力學和熱力學上的差別。氫/氘(H/D)同位素交換時,動力學速率和表面中間物種可能產生較大變化,系統無法保持穩定狀,因此采用H同位素實驗時需注意。H/D同位素進行SSITKA實驗可提供有關活性表面特征的信息,如H/D同位素交換實驗能鑒別隨著吸附、脫附或反應的進行,某一特定分子物種鍵的斷裂。
SSITKA 與光譜的聯用
SSITKA技術可以識別中間體的豐度及其動力學參數,其局限性是不能直接表征表面反應中間物的結構和直接監測其表面反應,而原位紅外技術允許直接觀察反應條件下的吸附物種[9]。將SSITK與FTIR有機地結合起來,可正確表征表面中間物種,包括其化學結構和表面覆蓋度,并可分辨吸附反應物種和非反應物種[10]。下圖7所示為北京精微高博儀器有限公司AMI-300TKA原位紅外表征儀器,可以做原位表征。

圖7 AMI-300TKA 原位表征
自20世紀70年代發明此項技術后它已經用于研究工業上許多不同和重要的化學反應機理。現今隨著SSITKA與光譜技術的結合,可監測真實的表面中間體和反應機制。此外,SSITKA還可與其他方法如動力學建模、DFT等結合時,可以獲得更多關于反應途徑的信息。結合SSITKA和其他技術優勢,在反應條件下獲取盡可能多的信息,以闡明具有復雜化學反應的機理。
參考文獻
[1]李春義 沈師孔 穩態同位素瞬變動力學分析 [J] 化學進展,1999,11(2):49-59.
[2]Recent Approaches in Mechanistic and Kinetic Studies of Catalytic, Cristian Ledesma,Jia Yang,De Chen, and Anders Holmen,ACS Catal. 2014, 4, 4527?4547
[3]Anders Holmen, Jia Yang, and De Chen Springer Handbook of Advanced Catalyst Characterization, Springer Handbooks,Part VII Transient and Thermal Methods,2023,41,935-966.
[4]Shannon, S. L.; Goodwin, J. G. Chem. Rev. 1995, 95, 677?695.
[5] Berger, R. J.; Kapteijn, F.; Moulijn, J. A.; Marin, G. B.; De Wilde,J.; Olea, M.; Chen, D.; Holmen, A.; Lietti, L.; Tronconi, E.;Schuurman, Y. Appl. Catal., A 2008, 342, 3?28.
[6]Kondratenko, E. V. Catal. Today 2010, 157, 16?23.
[7] Pansare, S.; Sirijaruphan, A.; Goodwin, J. G. In Isotopes in Heterogeneous Catalysis; Hutchings, G. J., Ed.; World Scientific Publishing Co.: London, 2006; Catalytic Science Series, Vol. 4, pp 183?206.[8]Kobayashi H,Kobayashi M ,Catal.Rev.-Sci.Eng.,1974,10,139.
[9]Yokomizo G H,Bell A T ,J .Catal.,1989,119,467—482.
[10] Efstathiou A M ,Chafik T ,Bianchi D et al.,J .Catal.,1994,148,224—239.


